Representational Image: BBMP Marshals penalizing for not covering face.
BENGALURU:
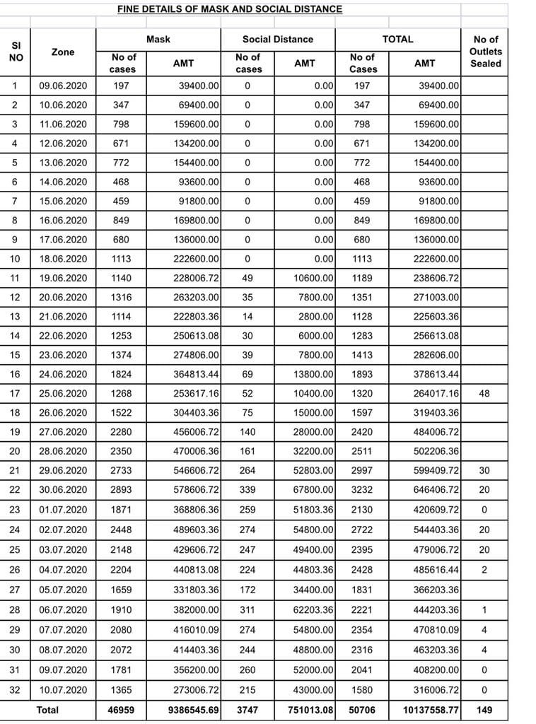
The Bangalore City Police and BBMP have jointly registered approximately 50,706 cases and imposed fines totalling more than Rs 1 crore fine on people for not wearing a mask or maintaining social distancing in public places.
On Saturday, IGP and Additional Commissioner of Police (Admin) Hemanth Nimbalkar tweeted: “Today, the joint team of Bangalore City Police and BBMP crossed Rs 1 crore mark as fine collection in last one month for M and SD violations. We are not at all proud of this feat, neither we take it as our achievement. No pleasure in collecting fine. Mask and Social Distance for Health.”
Today the joint team of @BlrCityPolice & BBMP crossed ₹1 Crore mark as fine collection in last one month for M&SD violations!
— Hemant Nimbalkar IPS (@IPSHemant) July 10, 2020
We are not at all proud of this feat, neither we take it as our achievement..
No pleasure in Collecting Fine..
Mask & Social Distance for Health🙏 pic.twitter.com/ltKNocXCBh
So far, from June 9 till July 10, fines of Rs 93,86,545 have been imposed in 46,959 cases for not wearing masks, and fines of Rs 7,51,013 have been collected in 3,747 cases for not maintaining social distancing. A total of 50,706 cases have been registered and Rs 1,01,37,558 in fines collected.
Besides, around 149 outlets have been sealed for guideline violations.


